1、偏心文丘里管的結構
傳統的文丘里管由入口圓管段、收縮段、喉管段和擴散段組成,一般入口圓管段長等于入口圓管管徑,喉管段長等于喉管管徑,其結構如圖1(a)所示。傳統文丘里管收縮段呈軸對稱徑向收縮,喉管段明顯抬高,這種結構容易對灌溉輸水管道中的固體粗顆粒污物形成攔截淤積,從而影響文丘里管的正常測流。偏心文丘里管的組成結構與普通文丘里管基本相似,也是由入口圓管段、收縮段、喉管段和擴散段組成,但是改變了入口收縮方式和出口的擴散方式,即其收縮段集中向圓管底部呈偏心收縮,直至與喉管段相接,擴散段向上部呈偏心擴散,喉管段長與喉管直徑相等,其結構如圖1(b)所示。偏心文丘里流量計消除了底坎,明顯提高了雜質通過能力,避免在喉管段前發生淤堵。偏心文丘里管的結構參數主要包括喉管段縮徑比(喉管直徑d與入口圓管直徑D之比)、收縮錐角α1及擴散錐角α2等。

2、測流原理
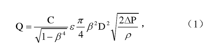
偏心文丘里流量計是以偏心文丘里管替換普通文丘里管而形成的一種測流裝置,其結構形式與普通文丘里流量計有所差別,但測流原理基本相同,仍屬于差壓類量水設備。當水流流經偏心文丘里管收縮段時,過流面積逐漸減小,流速增加,壓力下降,在喉管段壓力降到最低值。經此節流作用,偏心文丘里管的入口圓管斷面與喉管段斷面必定存在著一定壓力差,由流體的連續性方程和能量方程可推導出流量計算式:
式中:Q為管道流量(m3/s);β為喉管段縮徑比;D為入口圓管內徑(m);ΔP為入口圓管與喉管斷面的壓力差(Pa);ρ為流體密度,取ρ=1000kg/m3;ε為液體膨脹系數,對于不可壓縮性流體取ε=1;C為流出系數,定義為通過文丘里管的實際流量與理論流量的比值。

流出系數C是差壓式流量計節流件的重要參數之一,一般與節流裝置的材質、形狀、尺寸、加工精度、取壓位置、雷諾數等諸多因素有關,差壓式流量計在使用前必須進行流出系數的測定。對于本文研究的偏心文丘里管測流裝置而言,只有當其流出系數為一常數或接近常數時,流量與壓差之間的拋物線關系趨于穩定(如式(1)所示),才可以用于管道測流。

